2019-04-01から1ヶ月間の記事一覧

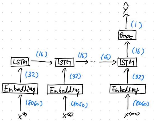
Keras: スパムメッセージをLSTMで分類する

KerasでRNN (LSTM) を実装し、スパムメッセージを分類してみます。 以前、同じデータセットに対してscikit-learnを使ってナイーブベイズで分類を行いましたが、いわばそのディープラーニング版となります。 scikit-learnでスパムメッセージを分類する(CountV…

日本語NLPライブラリ GiNZA で遊ぶ

つい最近、リクルートと国立国語研究所の共同研究のアウトプットとしNLPライブラリ GiNZA が公開されました。今回はこのGiNZAをお試ししてみます。 www.recruit.co.jp GiNZA GiNZAは日本語の自然言語処理の統合ライブラリです。 megagonlabs.github.io spaCy…

Python: Redisで複数の値を操作する (mset, mget, scan, delete)

小ネタです。 以前、PythonからRedisを操作するredis-pyについて紹介しましたが、今回はこのredis-pyで複数の値を一括して値を設定・削除する方法についてです。 準備 こちら↓の記事を参考にRedisコンテナの追加・redis-pyのインストールを行ってください。 …

Python: more-itertoolsで複雑なイテレーションを簡単に実装する

開発や分析で「タプルのリストからタプルの1つ目の要素だけを取り出したい」「リストの要素を3つずつ処理したい」といったことがちょくちょく起こります。Pythonでこうしたケースに便利なライブラリ mote_itertools を紹介します。 github.com インストール …